삼성서울병원, 스마트워치 수면무호흡 진단 정확도 AI 기반 판독 간 비교 검증

정용기 교수팀, 연구결과 SCI급 학술지 Nature and Science of Sleep 게재
스마트워치 기반 측정, 중등도 이상 수면무호흡 민감도·특이도 92% 이상 기록
스마트워치와 FDA 승인 AI PSG 간 AHI 상관계수 0.88로 높은 일치도 확인
웨어러블기기 활용, 치료 후 장기 모니터링·디지털 헬스케어 활용 가능성 시사

김혜란 기자 2025.12.19 14:19:37

스마트워치에 탑재된 인공지능(AI) 기반 수면무호흡 분석 기술이 실제 임상 환경에서 표준 검사인 수면다원검사(Polysomnography, PSG)와 무호흡-저호흡지수(AHI) 측정에서 높은 일치도를 보였다는 연구 결과가 발표됐다.

이번 연구에서는 미국 FDA 승인을 받은 허니냅스(HoneyNaps)의 AI 수면분석 소프트웨어 '솜눔(SOMNUM)'으로 PSG 데이터를 자동 분석하고, 이를 기준으로 스마트워치 알고리즘의 AHI 측정 정확도를 검증했다는 점에서 주목된다.

이번 연구는 삼성서울병원 이비인후과 정용기 교수팀이 주도했으며, 연구 결과는 'AI-Enhanced Smartwatch AHI Estimation and AI-Scored Polysomnography for Obstructive Sleep Apnea: Real-World Validation'라는 제목으로 SCI급 국제 학술지 Nature and Science of Sleep에 최근 게재됐다.

Nature and Science of Sleep 학술지

연구진은 한국 성인 90명을 대상으로 Level 1 수면다원검사(PSG)와 스마트워치 측정을 동시에 수행하는 전향적 단일기관 연구를 진행했다. 이 중 스마트워치에서 3시간 이상 유효 데이터가 확보된 53명의 데이터를 최종 분석에 활용했다.

연구에서는 ▲전문가가 판독한 PSG 기반 AHI(pAHI), ▲FDA 510(k) 승인 AI 소프트웨어 'SOMNUM'으로 분석한 PSG 기반 AI AHI(aiAHI), ▲스마트워치가 직접 추정한 AHI(eAHI) 등 세 가지 방식으로 AHI를 산출해 비교했다. SOMNUM은 수면 단계, 호흡 이벤트, 각성 반응, 하지 움직임 등 표준 PSG 데이터를 분석하는 AI 기반 의료 소프트웨어로, 2023년 FDA 510(k) 승인을 받았다. 연구진은 판독자 간 편차를 최소화하기 위해 aiAHI를 주요 비교 기준으로 삼았다.

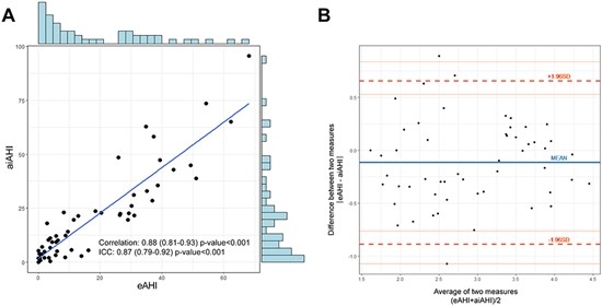
스마트워치(eAHI)와 AI 기반 수면다원검사(aiAHI) 비교

분석 결과 스마트워치 기반 eAHI는 SOMNUM 분석 결과(aiAHI)와 Spearman 상관계수 0.88, ICC 0.87로 매우 높은 일치도를 보였다. 또한 전문가 판독 pAHI와도 상관계수 0.85, ICC 0.82로 양호한 일치를 나타냈다. 특히 중등도 이상 수면무호흡증(AHI ≥ 15)을 판별하는 데 있어 스마트워치는 민감도 92.3%, 특이도 92.6%, 전체 정확도 92.5%를 기록했다. 이는 실사용 환경에서도 웨어러블 기기가 중등도·중증 수면무호흡증을 효과적으로 선별할 수 있음을 보여준다.

다만 Bland–Altman 분석에서는 스마트워치 기반 AHI가 실제 AHI보다 다소 낮게 추정되는 경향이 나타났으며, 특히 경증 수면무호흡증에서 두드러졌다. 연구진은 이러한 한계가 웨어러블 기기의 1분 단위 이벤트 집계 방식과 총 기록 시간(TRT)을 기준으로 AHI를 계산하는 구조적 특성에서 기인한다고 설명했다.

연구진은 "이번 연구는 FDA 승인 AI 기반 PSG 분석을 기준으로 스마트워치 알고리즘을 검증해, 임상적 신뢰도가 높다는 평가를 받는다"며 "웨어러블 기기가 병원 검사 이전 단계에서 수면무호흡증을 조기에 선별하고, 치료 후 경과를 장기적으로 모니터링하는 데 유용한 도구가 될 수 있음을 시사한다"고 밝혔다.

 

  • 카카오톡
  • 네이버
  • 페이스북
  • 트위치
맨 위로